
유도성 리액턴스
코일의 유도성 리액턴스는 인가된 전압의 주파수에 따라 달라집니다. 리액턴스는 주파수에 정비례하기 때문입니다.
유도 리액턴스는 교류(AC)의 변화에 저항하고 저항의 직류(DC)에 반대되는 것과 유사한 유도 코일의 특성입니다.
지금까지 우리는 DC 전원에 연결된 인덕터의 동작을 살펴봤고, 인덕터에 DC 전압이 인가될 때 전류의 증가가 순간적이지 않고 인덕터 자체 유도에 의해 결정된다는 점을 이제 알았으면 좋겠습니다. 또는 역기전력 값.
또한 인덕터 전류가 5개의 시간 상수 이후 최대 정상 상태 조건에 도달할 때까지 계속 증가하는 것을 확인했습니다. 유도 코일을 통해 흐르는 최대 전류는 코일 권선의 저항 부분(옴 단위)에 의해서만 제한되며, 옴 법칙에서 알 수 있듯이 이는 전류 대비 전압 비율( V/R) 에 의해 결정됩니다 .
교류 또는 AC 전압이 인덕터 전체에 적용되면 이를 통과하는 전류 흐름은 적용된 DC 전압의 흐름과 매우 다르게 동작합니다. 정현파 공급의 효과로 인해 전압과 전류 파형 사이에 위상차가 발생합니다. 이제 AC 회로에서 코일 권선을 통과하는 전류 흐름에 대한 반대는 코일의 인덕턴스뿐만 아니라 AC 파형의 주파수에 따라 달라집니다.
AC 회로에서 코일을 통해 흐르는 전류에 대한 반대는 회로의 임피던스 (Z)로 더 잘 알려진 AC 저항에 의해 결정됩니다. 그러나 저항은 항상 DC 회로와 연관되어 있으므로 DC 저항과 AC 저항을 구별하기 위해 일반적으로 리액턴스 라는 용어가 사용됩니다.
저항과 마찬가지로 리액턴스 값도 옴 단위로 측정되지만 순수한 저항 값과 구별하기 위해 기호 X (대문자 "X")가 제공됩니다.
우리가 관심 있는 부품은 인덕터이므로 인덕터의 리액턴스를 "유도성 리액턴스"라고 합니다. 즉, AC 회로에 사용될 때 인덕터의 전기 저항을 유도성 리액턴스 라고 합니다 .
X L 기호로 표시되는 유도성 리액턴스 는 전류 변화에 반대되는 AC 회로의 특성입니다. AC 회로의 커패시터에 대한 튜토리얼에서 우리는 순수 용량성 회로에서 전류 IC 가 전압을 90o만큼 "리드"한다는 것을 확인했습니다 . 순수 유도성 AC 회로에서는 정반대의 현상이 발생합니다. 즉, 전류 IL은 적용된 전압을 90o, 즉 (π/2 rads)만큼 "LAGS" 합니다 .
AC 인덕터 회로

위의 순수 유도 회로에서 인덕터는 AC 공급 전압에 직접 연결됩니다. 주파수에 따라 공급 전압이 증가하거나 감소함에 따라 이러한 변화에 따라 코일에서 자체 유도 역기전력도 증가하거나 감소합니다.
우리는 이 자기 유도 EMF가 코일을 통과하는 전류의 변화율에 정비례하고 공급 전압이 0 지점에서 양의 반주기에서 음의 반주기로 또는 그 반대로 교차할 때 최대가 된다는 것을 알고 있습니다. 사인파를 따라 o 및 180o .
결과적으로 AC 사인파가 최대 또는 최소 피크 전압 레벨에서 교차할 때 최소 전압 변화율이 발생합니다. 사이클의 이러한 위치에서 최대 또는 최소 전류가 인덕터 회로를 통해 흐르며 이는 아래에 표시됩니다.
AC 인덕터 페이저 다이어그램

이러한 전압 및 전류 파형은 순수 유도 회로의 경우 전류가 전압보다 90o 뒤처진다는 것을 보여 줍니다 . 마찬가지로 전압이 전류보다 90o 앞선다고 말할 수도 있습니다 . 어느 쪽이든 일반적인 표현은 벡터 다이어그램에 표시된 것처럼 전류가 지연된다는 것입니다. 여기서는 전류 벡터와 전압 벡터가 90o만큼 변위된 것으로 표시 됩니다 . 전류는 전압보다 뒤쳐진다 .
또한 이 명령문을 전압 V L 에 대해 V L = 0 o 및 IL = -90 o 로 작성할 수도 있습니다 . 전압 파형이 사인파로 분류되면 전류 IL 은 음의 코사인으로 분류될 수 있으며 특정 시점의 전류 값은 다음과 같이 정의할 수 있습니다.

여기서: Ω 는 초당 라디안 단위이고 t 는 초 단위입니다.
순수 유도성 회로에서는 전류가 항상 전압보다 90o 뒤처지기 때문에 전압 의 위상을 알면 전류의 위상을 찾을 수 있고 그 반대의 경우도 마찬가지입니다. 따라서 V L 의 값을 안다면 I L 은 90o 만큼 지연되어야 합니다 . 마찬가지로 IL 값을 안다면 V L 은 90o 앞서야 합니다 . 그러면 유도 회로의 전압 대 전류 비율은 코일의 유도 리액턴스 X L 을 정의하는 방정식 을 생성합니다.
유도성 리액턴스

유도성 리액턴스에 대한 위의 방정식을 라디안 단위의 각주파수 Ω 대신 전원의 일반 주파수를 사용하는 보다 친숙한 형태로 다시 작성할 수 있으며 이는 다음과 같이 제공됩니다.

여기서: θ 는 주파수이고 L 은 코일의 인덕턴스이며 2πθ = Ω 입니다 .
유도성 리액턴스에 대한 위의 방정식에서 주파수 또는 인덕턴스 중 하나가 증가하면 전체 유도성 리액턴스 값도 증가한다는 것을 알 수 있습니다 . 주파수가 무한대에 접근하면 인덕터 리액턴스도 개방 회로처럼 작용하여 무한대로 증가합니다.
그러나 주파수가 0 또는 DC에 가까워지면 인덕터 리액턴스가 0으로 감소하여 단락 회로처럼 작용합니다. 이는 유도성 리액턴스가 주파수에 "비례"한다는 것을 의미합니다.
즉, 유도성 리액턴스는 주파수에 따라 증가하므로 X L은 저주파에서 작고 X L은 고주파에서 높습니다. 이는 다음 그래프에서 확인할 수 있습니다.
주파수에 대한 유도성 리액턴스
| 기울기는 인덕터의 "유도성 리액턴스"가 공급 주파수가 증가함에 따라 증가한다는 것을 보여줍니다. 따라서 유도성 리액턴스는 다음 을 제공하는 주파수 에 비례 합니다 . |
그러면 DC에서 인덕터의 리액턴스가 0(단락)이고 고주파에서 인덕터의 리액턴스가 무한대(개방 회로)임을 알 수 있습니다.
유도성 리액턴스 예 No1
인덕턴스가 150mH이고 저항이 0인 코일이 100V, 50Hz 전원에 연결됩니다. 코일의 유도성 리액턴스와 이를 통해 흐르는 전류를 계산합니다.

LR 시리즈 회로를 통한 AC 공급
지금까지 우리는 순수한 유도성 코일을 고려했지만 모든 코일, 릴레이 또는 솔레노이드가 사용되는 코일 권선에 관계없이 일정량의 저항을 갖기 때문에 순수한 인덕턴스를 갖는 것은 불가능합니다. 그런 다음 간단한 코일을 인덕턴스와 직렬로 연결된 저항으로 간주할 수 있습니다.
인덕턴스 L 과 저항 R 을 모두 포함하는 AC 회로에서 전압, V는 두 구성 요소 전압 VR 및 V L 의 페이저 합이 됩니다 . 이는 코일을 통해 흐르는 전류 가 여전히 전압보다 뒤처지지만 VR 및 V L 값 에 따라 90o 미만의 양만큼 뒤처진다는 것을 의미합니다 .
전압과 전류 사이의 새로운 위상각은 회로의 위상각으로 알려져 있으며 그리스 기호 phi, Φ 로 표시됩니다 .
전압과 전류 사이의 관계에 대한 벡터 다이어그램을 생성하려면 참조 또는 공통 구성 요소를 찾아야 합니다. 직렬 연결된 RL 회로에서는 동일한 전류가 각 구성 요소를 통해 흐르므로 전류는 공통입니다. 이 기준량의 벡터는 일반적으로 왼쪽에서 오른쪽으로 수평으로 그려집니다.
저항기 및 커패시터에 대한 튜토리얼을 통해 저항성 AC 회로의 전류와 전압이 모두 "동위상"이므로 벡터인 VR R이 전류 또는 기준선에 스케일링되도록 중첩되어 그려진다는 것을 알고 있습니다.
우리는 또한 위에서 전류가 순수 유도성 회로의 전압보다 "지연"하므로 벡터 V L 은 전류 기준보다 90o 앞에 그려지며 VR 과 동일한 스케일로 표시 되며 이는 아래에 표시됩니다.
LR 시리즈 AC 회로

위의 벡터 다이어그램에서 라인 OB는 전류 기준 라인을 나타내고 라인 OA 는 저항 구성 요소의 전압이며 전류와 동위상임을 알 수 있습니다 . 라인 OC는 전류보다 90o 앞선 유도 전압을 보여줍니다 . 따라서 전류가 전압보다 90o 뒤처져 있음을 알 수 있습니다 . 라인 OD는 회로 전체의 결과 또는 공급 전압을 제공합니다. 전압 삼각형은 피타고라스 정리에서 파생되며 다음과 같이 제공됩니다.

DC 회로에서는 전압과 전류의 비율을 저항이라고 합니다. 그러나 AC 회로에서 이 비율은 임피던스 Z 로 알려져 있으며 단위 는 다시 옴입니다. 임피던스는 저항과 유도성 리액턴스를 모두 포함하는 "AC 회로"의 전류 흐름에 대한 총 저항입니다.
위의 전압 삼각형의 변을 전류로 나누면 변이 코일의 저항, 리액턴스 및 임피던스를 나타내는 또 다른 삼각형이 얻어집니다. 이 새로운 삼각형은 "임피던스 삼각형"이라고 불립니다.
임피던스 삼각형

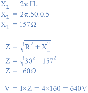
유도성 리액턴스 예 No2
솔레노이드 코일의 저항은 30Ω이고 인덕턴스는 0.5H입니다. 코일을 통해 흐르는 전류가 4암페어인 경우. 계산하다,
a) 주파수가 50Hz인 경우 공급 전압.

b) 전압과 전류 사이의 위상각.

AC 인덕터의 전력 삼각형
유도 회로에 사용할 수 있는 또 다른 유형의 삼각형 구성이 있는데 이는 "전력 삼각형"입니다. 유도 회로의 전력은 무효 전력 또는 볼트 암페어 반응성 으로 알려져 있으며 기호 는 볼트 암페어로 측정됩니다. RL 시리즈 AC 회로에서 전류는 공급 전압보다 Φo 만큼 지연됩니다 .
순수 유도성 AC 회로에서 전류는 공급 전압과 완전히 90 ° 만큼 위상이 다릅니다 . 따라서 코일에서 소비되는 총 무효 전력은 생성된 자체 유도 EMF 전력에 의해 소비 전력이 상쇄되므로 0과 같습니다. 즉, 하나의 완전한 사이클이 끝날 때 순수 인덕터가 소비하는 순 전력(와트)은 0입니다. 에너지는 모두 공급 장치에서 가져오고 공급 장치로 반환되기 때문입니다.
코일의 무효 전력( Q )은 다음과 같이 주어질 수 있습니다. I 2 x X L ( DC 회로의 I 2 R 과 유사 ) 그러면 AC 회로의 전력 삼각형의 세 변은 그림과 같이 피상 전력( S ), 실제 전력( P ) 및 무효 전력( Q )으로 표시됩니다.
파워 트라이앵글

실제 인덕터 또는 코일은 임피던스 Z 를 생성하는 권선의 저항으로 인해 와트 단위의 전력을 소비합니다 .