
AC 인덕턴스 및 유도성 리액턴스
AC 인덕터를 통한 전류 흐름에 대한 반대를 유도성 리액턴스라고 하며 이는 공급 주파수에 선형적으로 의존합니다.
AC 전원에 연결되면 유도 코일을 통해 흐르는 전류는 초기에 전류를 설정한 EMF와 반대되는 자체 유도 EMF를 생성합니다. AC 인덕턴스를 포함하는 시변 회로의 경우 유도 코일은 코일에 흐르는 시변 전류의 양을 제한하는 임피던스 역할을 합니다.
인덕터와 초크는 기본적으로 인덕턴스 라고 하는 유도 값을 높이기 위해 중공 튜브 포머(공기 코어) 주위에 감겨 있거나 일부 강자성 재료(철 코어) 주위에 감겨 있는 와이어 코일 또는 루프입니다 .
인덕터는 인덕터 단자에 전압이 가해질 때 생성되는 자기장의 형태로 에너지를 저장합니다. 인덕터를 통해 흐르는 전류의 증가는 순간적이지 않고 인덕터 자체 유도 또는 역기전력 값에 의해 결정됩니다. 그러면 인덕터 코일의 경우 이 역기전력 전압 V L 은 이를 통해 흐르는 전류의 변화율 에 비례합니다 .
이 전류는 자체 유도 역기전력이 0으로 감소할 때 약 5개의 시상수인 최대 정상 상태 조건에 도달할 때까지 계속 증가합니다. 이 시점에서 정상 상태 전류가 코일을 통해 흐르고 더 이상 역기전력이 전류 흐름을 방해하도록 유도되지 않으므로 코일은 최대 전류가 흐르도록 허용하는 단락 회로처럼 작동합니다.
그러나 AC 인덕턴스를 포함하는 교류 회로에서 인덕터를 통과하는 전류 흐름은 정상 상태 DC 전압의 흐름과 매우 다르게 동작합니다. 이제 AC 회로에서 코일 권선을 통해 흐르는 전류에 대한 반대는 코일의 인덕턴스뿐만 아니라 인가된 전압 파형의 주파수에 따라 달라집니다. 이는 양의 값에서 음의 값으로 변합니다.
AC 회로에서 코일을 통해 흐르는 전류에 대한 실제 반대는 코일의 AC 저항에 의해 결정되며 이 AC 저항은 복소수로 표시됩니다. 그러나 임피던스라고도 알려진 AC 저항 값과 DC 저항 값을 구별하기 위해 리액턴스 라는 용어가 사용됩니다.
저항과 마찬가지로 리액턴스는 옴 단위로 측정되지만 순전히 저항성 "R" 값 과 구별하기 위해 기호 "X"가 제공 되며 문제의 구성 요소가 인덕터이므로 인덕터의 리액턴스를 유도성 리액턴스 ( XL ) 라고 합니다. ) 옴 단위로 측정됩니다. 그 값은 공식에서 찾을 수 있습니다.
유도성 리액턴스

- 어디:
- X L = 유도성 리액턴스(Ω), (Ω)
- π (파이) = 3.142의 숫자 상수
- f = 주파수(Hz), (Hz)
- L = 헨리 단위의 인덕턴스, (H)
유도성 리액턴스를 라디안 단위로 정의할 수도 있습니다. 여기서 Omega, Ω 는 2πf 와 같습니다 .

따라서 유도 코일에 정현파 전압이 적용될 때마다 역기전력은 코일을 통해 흐르는 전류의 상승 및 하강에 반대되며 저항이나 손실이 0인 순수 유도 코일에서는 이 임피던스(복소수일 수 있음) 유도성 리액턴스와 같습니다. 또한 리액턴스는 크기와 방향(각도)을 모두 가지므로 벡터로 표현됩니다. 아래 회로를 고려하십시오.
정현파 공급을 통한 AC 인덕턴스

위의 이 간단한 회로는 다음 식으로 주어진 정현파 전압에 연결된 L 헨리( H )의 순수 인덕턴스로 구성됩니다. V(t) = V max sin Ωt . 스위치가 닫히면 이 정현파 전압으로 인해 전류가 흐르고 0에서 최대값까지 상승합니다. 전류의 이러한 상승 또는 변화는 코일 내에 자기장을 유도하여 전류의 이러한 변화를 반대하거나 제한합니다.
그러나 DC 회로에서처럼 전류가 최대값에 도달하기 전에 전압의 극성이 바뀌어 전류의 방향이 바뀌게 됩니다. 다른 방향으로의 이러한 변화는 코일에서 자체 유도된 역기전력에 의해 다시 한 번 지연되며, 순수 인덕턴스만 포함하는 회로에서는 전류가 90 ° 만큼 지연됩니다 .
인가된 전압은 전류가 최대 양수 값에 도달하는 것보다 1/4주기 빨리 최대 양수 값에 도달합니다. 즉, 순수 유도 회로에 인가된 전압은 전류를 1/ 4° 만큼 "리드"합니다. 아래와 같이 사이클 또는 90o .
AC 인덕턴스의 사인파형

이 효과는 또한 순수 유도 회로에서 전압이 전류를 90 ° 만큼 리드하는 페이저 다이어그램으로 나타낼 수도 있습니다 . 그러나 전압을 기준으로 사용하면 아래 벡터 다이어그램에 표시된 것처럼 전류가 사이클의 1/4 또는 90o 만큼 전압을 "LAGS"한다고 말할 수도 있습니다.
AC 인덕턴스의 페이저 다이어그램

따라서 순수 손실이 적은 인덕터의 경우 V L은 IL 을 90 ° 만큼 "앞서" , 또는 IL이 V L을 90 ° 만큼 "뒤쳐진다" 고 말할 수 있습니다 .
순수 인덕터 회로를 통해 흐르는 전압과 전류 사이의 위상 관계를 기억하는 방법은 여러 가지가 있지만, 매우 간단하고 기억하기 쉬운 방법 중 하나는 니모닉 표현 " ELI" (소녀 이름에서 Ellie 로 발음 )를 사용하는 것입니다.
ELI는 AC 인덕턴스에서 첫 번째 기전력, 전류 I 앞의 L을 나타냅니다 . 즉, 인덕터의 전류 E , L , I 이전의 전압은 "ELI" 와 같고 , 전압이 시작되는 위상 각도에 관계없이 이 표현은 항상 순수 인덕터 회로에 적용됩니다.
유도성 리액턴스에 대한 주파수의 영향
50Hz 공급 장치가 적절한 AC 인덕턴스에 연결되면 전류는 앞서 설명한 대로 90 ° 만큼 지연되고 각 반주기가 끝날 때 전압이 극성을 반전시키기 전에, 즉 전류가 상승하기 전에 I 암페어 의 피크 값을 얻습니다. " T secs " 단위로 최대값으로 설정됩니다 .
이제 동일한 피크 전압의 100Hz 공급을 코일에 적용하면 전류는 여전히 90o만큼 지연되지만 최대 값은 50Hz 값보다 낮습니다. 왜냐하면 최대값에 도달하는 데 필요한 시간이 줄어들었기 때문입니다. 이제 피크 값에 도달하는 데 " 1/2 T 초 " 만 걸리기 때문에 주파수가 증가합니다 . 또한, 주파수 증가로 인해 코일 내부의 자속 변화율도 증가했습니다.
그런 다음 유도 리액턴스에 대한 위의 방정식에서 주파수 또는 인덕턴스가 증가하면 코일의 전체 유도 리액턴스 값도 증가한다는 것을 알 수 있습니다 . 주파수가 증가하고 무한대에 접근함에 따라 인덕터 리액턴스와 그에 따른 임피던스도 개방 회로처럼 작용하여 무한대를 향해 증가합니다.
마찬가지로 주파수가 0 또는 DC에 가까워지면 인덕터 리액턴스도 0으로 감소하여 단락 회로처럼 작동합니다. 이는 유도성 리액턴스가 "주파수에 정비례"하고 그림과 같이 낮은 주파수에서는 작은 값을 갖고 높은 주파수에서는 높은 값을 갖는다는 것을 의미합니다.
주파수에 대한 유도성 리액턴스

인덕터의 유도성 리액턴스는 주파수가 증가함에 따라 증가합니다. 따라서 인덕터에서 생성된 역기전력은 인덕턴스에 인덕터의 전류 변화율을 곱한 값과 같기 때문에 유도성 리액턴스는 주파수 ( XL α f )에 비례합니다. .
또한 주파수가 증가함에 따라 인덕터를 통해 흐르는 전류 값도 감소합니다.
다음과 같이 순수 AC 인덕턴스의 리액턴스에 대한 매우 낮은 주파수와 매우 높은 주파수의 영향을 제시할 수 있습니다.

순수 인덕턴스를 포함하는 AC 회로에서는 다음 공식이 적용됩니다.

그러면 우리는 어떻게 이 방정식에 도달하게 되었나요? 인덕터의 자기 유도 EMF는 "자기 유도" 효과를 생성하는 패러데이 법칙에 의해 결정됩니다. 전류가 유도 코일을 통과할 때 AC 전류의 변화율은 변화하는 전류에 대응하는 동일한 코일에 EMF를 유도합니다. 흐르는 전류 흐름에 의해 생성되는 자체 자기장이 전류 변화에 의해 반대되는 코일에 대한 효과를 "자기 인덕턴스"라고 합니다.
이 자기 유도 EMF의 최대 전압 값은 코일 양단의 전압 값이 다음과 같이 주어지는 전류 변화의 최대 속도에 해당합니다.

여기서 d/dt는 시간에 따른 전류 변화율을 나타냅니다.
주변에 자속을 생성하는 유도 코일(L)을 통해 흐르는 정현파 전류는 다음과 같이 제공됩니다.

그러면 위의 방정식은 다음과 같이 다시 작성할 수 있습니다.

정현파 전류를 미분하면 다음과 같습니다.

코사인파 파형으로서의 cos(Ωt + 0o ) = sin(Ωt + 0o + 90o ) 의 삼각 항등식은 사실상 + 90o 만큼 이동된 사인 파형입니다 . 그런 다음 위 방정식을 사인파 형식으로 다시 작성하여 AC 인덕턴스 양단의 전압을 다음과 같이 정의할 수 있습니다.

여기서: V MAX = ΩLI MAX = √ 2 V RMS 는 최대 전압 진폭이고 θ = + 90o 는 전압과 전류 파형 사이의 위상차 또는 위상각입니다. 즉, 순수한 인덕터를 통해 전류가 전압보다 90o 뒤처집니다 .
페이저 도메인에서
페이저 영역에서 코일 양단의 전압은 다음과 같이 지정됩니다.

극형 에서는 다음과 같이 작성됩니다: X L ∠90 o 여기서:

직렬 R + L 회로를 통한 AC
위에서 우리는 순수 유도성 코일을 통해 흐르는 전류가 전압보다 90 ° 만큼 뒤처진다는 것을 보았고 , 순수 유도성 코일이라고 말할 때 옴 저항이 없고 따라서 I 2 R 손실도 없는 코일을 의미합니다. 그러나 현실 세계에서는 순전히 AC 인덕턴스 만 갖는 것은 불가능합니다.
모든 전기 코일, 계전기, 솔레노이드 및 변압기는 사용되는 와이어의 코일 권선이 아무리 작더라도 일정량의 저항을 갖습니다. 이는 구리선에 저항성이 있기 때문입니다. 그런 다음 유도 코일을 저항, R이 인덕턴스와 직렬로 연결된 코일, L이 느슨하게 "불순한 인덕턴스"라고 부를 수 있는 것을 생성하는 것으로 간주할 수 있습니다.
코일에 "내부" 저항이 있는 경우 코일의 전체 임피던스를 인덕턴스와 직렬로 연결된 저항으로 표현해야 하며, 인덕턴스 L 과 저항이 모두 포함된 AC 회로에서 R은 전압, V는 조합 전체에 걸쳐 표시해야 합니다. 는 두 구성요소 전압 VR 및 V L 의 페이저 합이 됩니다 .
이는 코일을 통해 흐르는 전류가 여전히 전압보다 뒤처지지만 페이저 합인 V R 및 V L 값에 따라 90o 보다 작은 양만큼 뒤처진다는 것을 의미합니다. 전압과 전류 파형 사이의 새로운 각도는 위상차를 제공하며, 이는 우리가 알고 있는 그리스 기호 phi, Φ가 주어진 회로의 위상 각도입니다 .
아래 회로는 순수 비유도 저항이고, R은 순수 인덕턴스 L 과 직렬로 연결되어 있습니다 .
직렬 저항-인덕턴스 회로

위의 RL 직렬 회로에서 전류는 저항과 인덕턴스 모두에 공통적이며 전압은 두 가지 구성 요소 전압 VR 및 V L 로 구성되어 있음을 알 수 있습니다 . 이 두 구성 요소의 결과 전압은 수학적으로 또는 벡터 다이어그램을 그려서 찾을 수 있습니다.
벡터 다이어그램을 생성하려면 기준 또는 공통 구성 요소를 찾아야 하며 직렬 AC 회로에서는 동일한 전류가 저항과 인덕턴스를 통해 흐르기 때문에 전류가 기준 소스가 됩니다. 순수 저항과 순수 인덕턴스에 대한 개별 벡터 다이어그램은 다음과 같습니다.
두 가지 순수 구성 요소에 대한 벡터 다이어그램

AC 저항에 대한 이전 튜토리얼과 위에서 볼 수 있듯이 저항성 회로의 전압과 전류는 모두 동상이므로 벡터 VR 은 전류 벡터에 스케일링되도록 중첩되어 그려집니다.
또한 위에서부터 전류는 AC 인덕턴스(순수) 회로의 전압보다 지연되므로 벡터 V L 은 표시된 대로 전류보다 90 ° 앞선 VR R 과 동일한 규모로 그려집니다 .
결과 전압의 벡터 다이어그램

위의 벡터 다이어그램에서 라인 OB 는 수평 전류 기준이고 라인 OA 는 전류와 동위상인 저항성 부품의 전압임을 알 수 있습니다 . 라인 OC는 전류보다 90o 앞선 유도 전압을 보여 주므로 전류가 순수 유도 전압보다 90o 뒤처져 있음을 여전히 볼 수 있습니다 . 라인 OD는 결과적인 공급 전압을 제공합니다. 그 다음에:
- V는 인가된 전압의 rms 값과 같습니다.
- I는 직렬 전류의 rms 값과 같습니다.
- VRR 은 전류와 동위상인 저항에 걸친 IR 전압 강하 와 같습니다 .
- V L 은 전류를 90 ° 만큼 앞서는 인덕턴스 양단의 IX L 전압 강하 와 같습니다 .
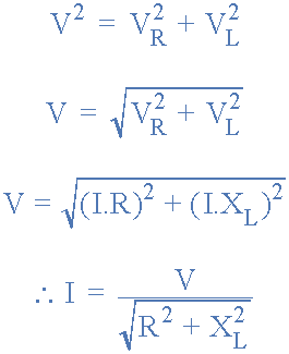
전류가 순수 인덕턴스의 전압보다 정확히 90°만큼 뒤처지기 때문에 개별 전압 강하 VR 및 V L에서 도출된 결과 페이저 다이어그램은 위에서 OAD 로 표시된 직각 전압 삼각형을 나타 냅니다 . 그런 다음 피타고라스 정리를 사용하여 저항/인덕터(RL) 회로에 걸친 결과 전압 값을 수학적으로 찾을 수도 있습니다.
V R = IR 및 V L = IX L 이므로 인가된 전압은 다음과 같이 두 가지의 벡터 합이 됩니다.

양은 회로의 임피던스 Z 를

나타냅니다 .
AC 인덕턴스의 임피던스
임피던스 Z 는 저항(실수부)과 리액턴스(허수부)를 모두 포함하는 AC 회로에 흐르는 전류에 대한 "총" 반대입니다. 임피던스에는 옴, Ω 단위도 있습니다 . 임피던스는 회로의 주파수 Ω 에 따라 달라집니다 . 이는 회로의 반응성 구성 요소에 영향을 미치고 직렬 회로에서는 모든 저항성 및 반응성 임피던스가 더해지기 때문입니다.
임피던스는 복소수 Z = R + jX L 로 표시할 수도 있지만 이는 페이저가 아니며 두 개 이상의 페이저가 함께 결합된 결과입니다. 위의 전압 삼각형의 변을 I 로 나누면 아래와 같이 회로의 저항, 리액턴스 및 임피던스를 나타내는 또 다른 삼각형이 얻어집니다.
RL 임피던스 삼각형
그런 다음: (임피던스) 2 = (저항) 2 + ( j 리액턴스) 2 여기서 j는 90o 위상 변이를 나타냅니다 .
이는 전압과 전류 사이의 양의 위상각 θ가 다음과 같이 주어진다는 것을 의미합니다.
위상각

위의 예는 단순한 비순수 AC 인덕턴스를 나타내지만, 두 개 이상의 유도 코일이 직렬로 함께 연결되거나 단일 코일이 많은 비유도 저항과 직렬로 연결된 경우 저항 요소의 총 저항은 동일합니다. : R 1 + R 2 + R 3 등, 회로의 총 저항 값을 제공합니다.
마찬가지로, 유도성 요소의 총 리액턴스는 X 1 + X 2 + X 3 등과 같으며 회로의 총 리액턴스 값을 제공합니다.
이러한 방식으로 많은 초크, 코일 및 저항기를 포함하는 회로는 단일 리액턴스와 직렬로 연결된 단일 저항으로 구성된 Z 2 = R 2 + X 2 임피던스 값으로 쉽게 줄일 수 있습니다 .
AC 인덕턴스 예 No1
다음 회로에서 공급 전압은 V (t) = 325sin( 314t – 30o ) 및 L = 2.2H 로 정의됩니다 . 코일을 통해 흐르는 rms 전류 값을 결정하고 결과 페이저 다이어그램을 그립니다.

코일 양단의 RMS 전압은 공급 전압과 동일합니다. 전원 공급 장치의 피크 전압이 325V인 경우 등가 RMS 값은 230V입니다. 이 시간 영역 값을 극형으로 변환하면 V L = 230 ∠-30o ( 볼트)가 됩니다 . 코일의 유도성 리액턴스는 X L = ΩL = 314 x 2.2 = 690Ω 입니다 . 그런 다음 코일을 통해 흐르는 전류는 다음과 같이 옴의 법칙을 사용하여 찾을 수 있습니다.

전류가 전압보다 90o 뒤처지면 페이저 다이어그램이 됩니다.

AC 인덕턴스 예 No2
코일의 저항은 30Ω이고 인덕턴스는 0.5H입니다. 코일을 통해 흐르는 전류가 4A인 경우. 주파수가 50Hz인 경우 공급 전압의 rms 값은 얼마입니까?

회로의 임피던스는 다음과 같습니다.

그런 다음 각 구성 요소의 전압 강하는 다음과 같이 계산됩니다.

전류와 공급 전압 사이의 위상각은 다음과 같이 계산됩니다.

페이저 다이어그램은 다음과 같습니다.

AC 커패시턴스에 대한 다음 튜토리얼에서는 정상 상태 정현파 AC 파형이 순수 커패시터와 비순수 커패시터 모두에 대한 페이저 다이어그램 표현과 함께 커패시터에 적용될 때 커패시터의 전압-전류 관계를 살펴보겠습니다.
'전자일기' 카테고리의 다른 글
| 시리즈 RLC 회로 분석 (2) | 2023.12.28 |
|---|---|
| AC 커패시턴스 및 용량성 리액턴스 (2) | 2023.12.27 |
| AC 저항 및 임피던스 (2) | 2023.12.25 |
| 복소수 및 페이저에대해 아라보자자자아!!!싹다김치 (2) | 2023.12.24 |
| AC회로에사용되는페이져다이어그램및페이저대수학!아라라라보자 (1) | 2023.12.23 |