
임피던스와 복소 임피던스
임피던스는 AC 회로의 교류 전류 흐름에 대한 총 저항이며 옴 단위로 표시됩니다.
일반적으로 "AC 회로"로 알려진 교류에서 임피던스는 회로 주위에 흐르는 전류에 대한 반대입니다. 임피던스 는 저항(R), 인덕턴스(L) 및 정전 용량(C)과 같은 회로 내부의 전류 제한 구성 요소가 결합된 효과인 옴 단위 로 제공되는 값입니다 .
직류 또는 DC 회로에서는 전류 흐름에 반대되는 것을 저항이라고 부르지만, AC 회로에서 임피던스는 회로의 저항성(R) 구성 요소와 반응성(X) 구성 요소 모두의 결과입니다. DC 회로에 존재하는 전기 저항의 양은 문자 " R "로 표시되는 반면, 교류 AC 회로의 경우 문자 또는 기호 " Z "는 전류 흐름에 대한 반대를 나타내는 데 사용됩니다.
또한 DC 저항과 마찬가지로 임피던스는 옴(Ohm) 단위로 표시되며, 해당되는 경우 옴 값의 배수 및 약배수가 사용됩니다.
예를 들어 마이크로옴( uΩ 또는 10 -6 ), 밀리옴( mΩ 또는 10 -3 ), 킬로옴( kΩ 또는 10 3 ) 및 메그옴( MΩ 또는 10 6 ) 등. 각각의 경우 임피던스는 옴을 사용하여 설명할 수 있습니다. 법은 다음과 같습니다:
Z = V ¼ I, 또는 I = V ¼ Z, 또는 V = I × Z
여기서 Z 는 옴 단위의 임피던스, V 는 볼트 단위, I 는 암페어 단위입니다.
임피던스 형태
앞서 임피던스(Z)는 AC 회로 내에 존재하는 저항(R)과 리액턴스(X)의 총 값이 결합된 효과라고 말했습니다. 그러나 임피던스는 주파수에 따라 달라지므로 이와 관련된 위상각도 있습니다.
유도성 이든 용량 성이든 리액턴스 의 위상각은 항상 저항성 구성요소와 위상이 90 ° 다르기 때문에 회로의 저항성 값과 반응성 값을 단순히 산술적으로 더해 회로의 총 임피던스 값을 제공할 수 없습니다. 즉, R + X는 Z와 같지 않습니다.
여기서 저항은 주파수에 따라 값이 변경되지 않으므로 리액턴스가 없으므로(권선은 포함되지 않음) 저항이 임피던스(R = Z)와 직접적으로 동일하다는 점에 주목할 가치가 있습니다. 결과적으로 저항에는 위상각이 없으므로 저항에 걸리는 전압과 저항에 흐르는 전류는 항상 "동위상"입니다.
그러나 유도성 리액턴스( XL ) 또는 용량성 리액턴스( XC ) 형태의 리액턴스는 주파수 에 따라 변하므로 공급 주파수가 변함에 따라 회로 임피던스 값도 달라지게 됩니다 . 이러한 이유로 "저항 임피던스"(저항기의 경우) 및 "반응성 임피던스"(인덕터 및 커패시터의 경우)라는 표현이 AC 회로 분석에 사용되는 경우가 있습니다.
회로의 저항 값과 무효 값을 합산하여 전체 임피던스(Z)를 찾을 수 없으므로 두 값은 서로 90o만큼 다르기 때문에 즉 서로 직각을 이루므로 값을 플롯할 수 있습니다. x축이 저항성 또는 "실수 축"이고 y축이 반응성 또는 "허수 축"인 2차원 그래프에서. 이는 직각삼각형을 만들 때 사용하는 방법과 동일합니다.
다음 직각 그래프는 저항과 리액턴스가 회로의 복소 임피던스를 나타내는 삼각형의 빗변(가장 긴 변)과 결합되는 방식을 보여줍니다.
저항 및 유도성 리액턴스

사실상 3면 직각 삼각형이 무엇인지 다루면서 피타고라스의 정리와 관련 방정식을 사용하여 저항과 유도성 리액턴스를 나타내는 직각 삼각형의 두 변을 세 번째 변의 길이에 연관시킬 수 있습니다. 빗변. 피타고라스의 정리는 임피던스, 저항, 리액턴스 측면에서 다음과 같이 정의됩니다.
Z 2 = R 2 + X 2
그건:
(임피던스) 2 = (저항) 2 + (리액턴스) 2
이러한 방식으로 우리는 "Z"가 저항 벡터(R)와 리액턴스 벡터(X L )의 결과 벡터 합이고 표시된 것처럼 양의 기울기임을 보여줄 수 있습니다.
RL 회로의 임피던스

위상각(ψ)은 아래와 같이 두 벡터 사이의 각도를 도 단위로 정의합니다.
RL 회로의 위상각

인덕터와 유도성 리액턴스를 포함하는 이전 회로와 마찬가지로 커패시터와 용량성 리액턴스를 포함하는 AC 회로의 복소 임피던스도 표시할 수 있습니다.
동일한 직각 그래프를 사용하여 저항과 용량성 리액턴스가 회로의 복소 임피던스를 나타내는 삼각형의 빗변(가장 긴 변)과 어떻게 결합되는지 확인할 수 있습니다.
커패시터의 경우 "Z"는 저항 벡터(R)와 리액턴스 벡터(X C )의 벡터 합이라는 점을 기억하십시오. 이전 X L 벡터와 반대 방향으로 음의 기울기 로 그려집니다 . 이는 AC 회로에 대한 용량성 리액턴스의 효과가 유도성 리액턴스의 효과와 반대임을 보여줍니다.
저항 및 용량성 반응

다시 피타고라스의 정리와 방정식을 사용하여 저항과 용량성 리액턴스를 나타내는 직각 삼각형의 두 변을 복소 임피던스인 빗변과 연관시킬 수 있습니다. 피타고라스의 정리는 임피던스, 저항, 리액턴스 측면에서 다음과 같이 정의됩니다.
RC 회로의 임피던스

위상각의 탄젠트(ψ)는 임피던스 벡터와 저항 벡터 사이의 각도를 도 단위로 정의합니다. 위상각은 다음과 같이 리액턴스를 저항으로 나눈 값과 같습니다.
RC 회로의 위상각

따라서 벡터 다이어그램을 사용하여 저항과 리액턴스(유도성 및 용량성)가 함께 결합되어 임피던스를 형성하는 방법을 보여줄 수 있습니다. 또한 Z , R 또는 X를 사용하여 회로의 저항 값을 사용하여 공급 전압 V S 와 회로 전류 I 사이의 위상 각도 Φ를 찾을 수 있습니다 .
임피던스 예제 No1
53mH 인덕터와 15Ω 저항이 직렬로 연결됩니다. 60Hz에서 총 임피던스와 위상각을 계산합니다.
1. 총 회로 임피던스, Z :

2. 위상각, Φ :

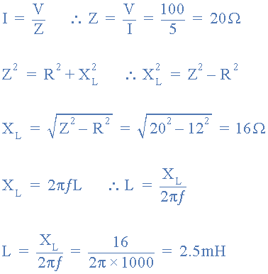
임피던스 예제 No2
솔레노이드 코일은 멀티미터로 측정했을 때 12Ω의 정적 저항을 갖는 것으로 나타났습니다. 솔레노이드 코일이 100V, 1000Hz 공급 장치에 연결되었을 때 5A의 전류를 소비하는 경우. 코일의 인덕턴스와 역률을 계산합니다.
1. 코일의 인덕턴스, X L :

2. 역률:

우리는 임피던스 ( Z )가 AC 회로 내의 저항( R )과 리액턴스( X ) 의 결합된 효과 이고 순수 반응성 구성요소인 X가 저항성 구성요소와 90o 위상차가 있음 을 확인했습니다 . 인덕턴스는 양(+ 90o )이고 커패시턴스는 음(-90o ) 입니다.
그러나 직렬 AC 회로에 유도성 리액턴스 X L 과 용량성 리액턴스 X C 가 모두 포함되어 있다면 어떻게 될까요 ? 이것이 회로의 복잡한 임피던스에 어떤 영향을 미칠까요?
RLC 회로의 임피던스
리액턴스는 리액턴스다! 인덕터의 임피던스 삼각형은 양의 기울기를 갖고 커패시터의 임피던스 삼각형은 음의 기울기를 갖는 반면, 두 임피던스의 수학적 합은 회로의 전체 임피던스 값을 생성합니다.
직렬 회로의 결합된 리액턴스는 표시된 것처럼 유도성 리액턴스 X L 과 용량성 리액턴스 X C 의 합이 됩니다.
X = X L + (-X C ) = X L – X C
다음을 제공합니다.

일반적으로 X L 이든 X C 이든 큰 값에서 작은 리액턴스 값을 빼면 아무런 차이가 없습니다. 수학에서는 음수 값을 제곱하면 항상 양수 결과가 나오기 때문입니다. 예를 들어 -2 2 는 2 2 , 즉 +4 와 동일한 결과입니다 .
따라서 저항 값에 추가하기 전에 회로 결합 리액턴스 값을 찾기 위해 ( X L – X C ) 또는 ( X C – X L ) 을 사용하는 것이 옳습니다 .
결과 임피던스 삼각형은 다음과 같습니다.
RLC 임피던스 삼각형

임피던스의 기울기는 유도성( XL – X C ) 또는 용량성( X C – X L ) 중 어느 리액턴스가 더 큰지에 따라 방향이 양수이거나 음수입니다. 그러면 복잡한 형태의 회로 임피던스는 다음과 같이 정의됩니다. Z = R ±jΧ
그렇다면 AC 회로에 인덕턴스와 커패시턴스만 직렬로 포함된 경우 임피던스는 Z = X L – X C 이거나 그 반대가 됩니다. 회로가 공진 상태에 있는 경우 순 리액턴스는 0이 되어 Z = 0이 됩니다. X L = X C 이기 때문에 유도 리액턴스는 용량성 리액턴스와 값이 동일하고 반대이기 때문입니다 . 이것이 회로 전류 흐름이 공진 시 직렬 회로의 동적 저항(R)에 의해서만 제한되는 이유입니다.
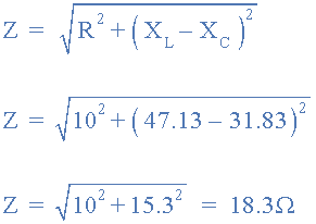
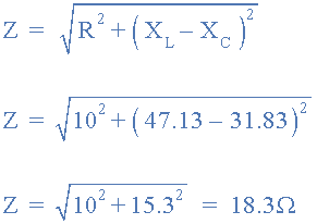
임피던스 예제 No3
10Ω의 비유도 저항, 100uF의 커패시터, 0.15H의 인덕터가 240V, 50Hz 전원에 직렬로 연결됩니다. 유도성 리액턴스, 용량성 리액턴스, 회로의 복합 임피던스 및 역률을 계산합니다.

R = R = 10Ω
1. 유도성 리액턴스, X L

2. 용량성 리액턴스 , XC

3. 복소 임피던스, Z

4. 역률

이 튜토리얼에서 임피던스(기호 Z )는 AC 회로 주위에 흐르는 전류에 대한 반대이며 저항과 리액턴스의 결합 효과라는 것을 확인했습니다 . 우리는 또한 임피던스가 수학적 합과 같지 않지만 반응성 구성 요소가 저항성 구성 요소와 90o "위상이 다르기 때문에 회로 내 저항성 및 반응성 구성 요소의 벡터 합은"이라는 것을 확인 했습니다 .
직렬의 복잡한 임피던스는 순수 저항성 회로와 동일한 옴의 법칙을 따릅니다.
즉: Z T = Z 1 + Z 2 + Z 3 + Z 4 +… 등.
그러나 병렬 연결된 회로는 어떻습니까? 어떻게 계산됩니까?
병렬 임피던스
단일 저항과 단일 리액턴스가 병렬로 함께 연결된 경우 각 병렬 분기의 임피던스를 찾아야 합니다. 그러나 병렬로 연결된 구성 요소는 R과 X 두 개뿐이므로 병렬로 연결된 두 저항에 대한 표준 방정식을 사용할 수 있습니다.
이는 다음과 같이 주어진다: R T = (R 1 *R 2 )/(R 1 + R 2 ) .

여기서: Z , R 및 X는 모두 옴 단위로 제공됩니다.
또한 우리가 AC 공급 장치와 주파수를 다루고 있으므로 저항성 구성 요소가 반응성 구성 요소와 90o 위상차가 있으므로 제품은 R 과 X 의 벡터 합으로 나누어집니다 .
따라서 복소 임피던스를 포함하는 "n" 가지가 병렬로 연결되면 전체 임피던스는 모든 병렬 가지의 벡터 추가입니다. 따라서 회로의 총 임피던스의 역수는 다음과 같이 주어진다.

그리고 이건
병렬 저항 및 인덕턴스

병렬 저항과 커패시턴스

병렬 저항, 인덕턴스 및 커패시턴스

이 RLC 병렬 회로의 경우 공진 주파수에서 X L = X C 가 0이 되므로 회로에 저항(R)만 존재한다는 점에 유의하십시오. 따라서 공진에서만 동적 임피던스는 Z = R 로 정의됩니다 .